ông Nguyễn Bá Diệp - Co Founder của MoMo
Mới đây, thông tin với MarketTimes, ông Nguyễn Bá Diệp - Co Founder của Ví điện tử MoMo - “kỳ lân" công nghệ có vốn hóa định giá vượt mốc tỷ USD cho biết hiện siêu ứng dụng công nghệ tài chính (fintech) này đã “có lãi”.
Về kế hoạch IPO, ông Diệp cho biết "trước sau cũng phải làm" nhưng hiện “chưa có thời gian nghĩ đến” và các nhà đầu tư vào doanh nghiệp thì cũng phải có thời hạn.
Cũng theo ông Diệp, việc khuyến khích các doanh nghiệp công nghệ IPO là rất tốt, tại các nước như Trung Quốc, Hàn Quốc, Nhật Bản,… các doanh nghiệp này có thể tự huy động vốn thay vì phải lệ thuộc vào các quỹ đầu tư, ngoài ra đây cũng là kênh dẫn vốn cho các doanh nghiệp trong quá trình phát triển.
“Tại Việt Nam, quy định về chào bán cổ phiếu lần đầu ra công chúng (IPO) khá “truyền thống” (lãi trong vòng 3 năm, xóa lỗ lũy kế - PV), với doanh nghiệp công nghệ thì tại nhiều nước có cách tiếp cận khác”, ông Diệp chia sẻ.
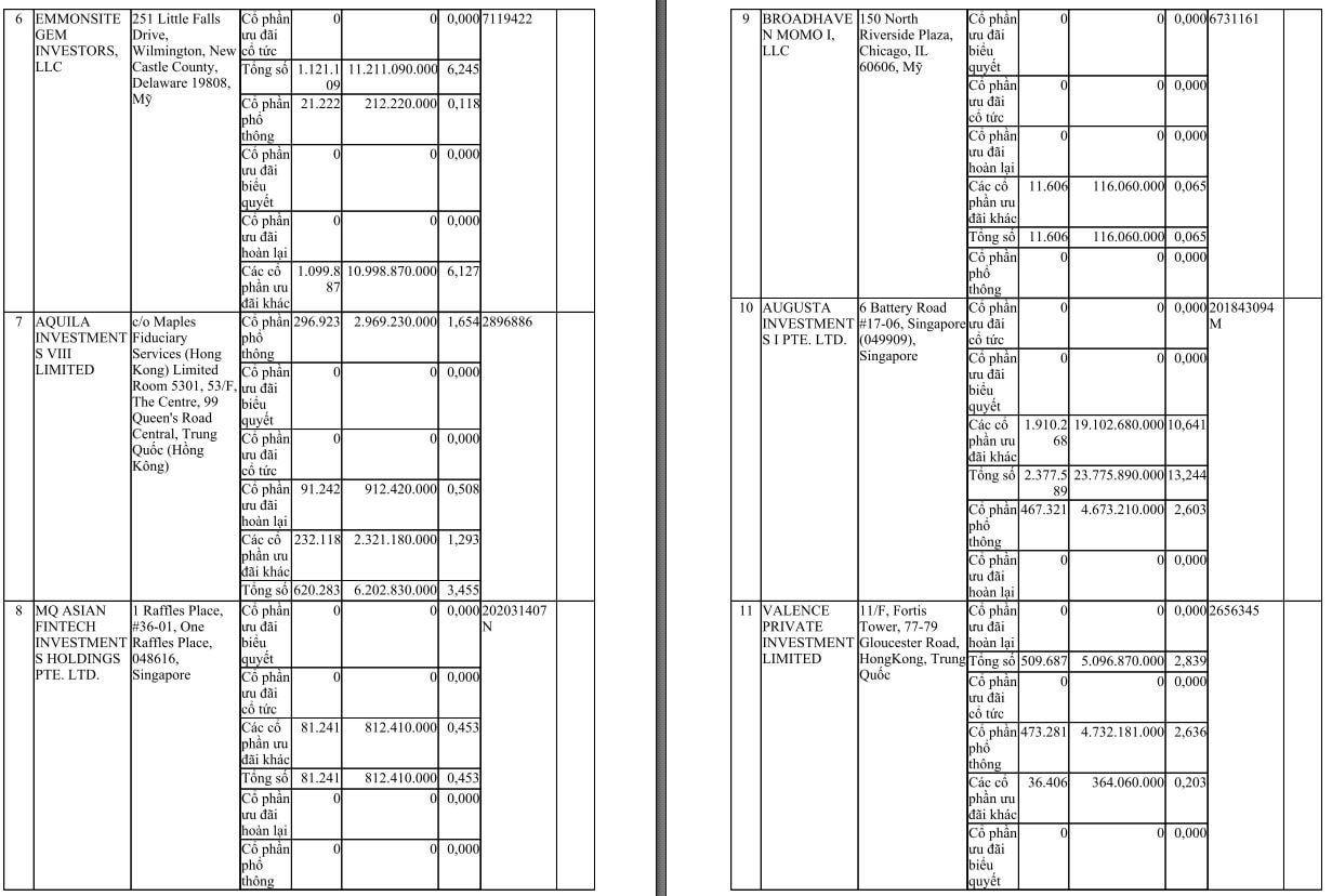
Danh tính 20 cổ đông ngoại đang nắm 71,259 %
Theo thông tin cập nhật, doanh nghiệp đứng sau MoMo hiện có vốn điều lệ chỉ hơn 179,5 tỷ đồng, trong đó 20 cổ đông ngoại đang nắm 71,259%.
Cụ thể, Công ty Cổ phần Dịch vụ Di Động Trực tuyến (M_Service) - doanh nghiệp đứng sau ứng dụng Ví điện tử MoMo vừa có cập nhật một số biến động liên quan đến vốn điều lệ và tỷ lệ sở hữu của nhóm 20 cổ đông ngoại.
Theo đó, tại đăng ký thông tin doanh nghiệp cấp ngày 1/12/2025 (được đăng tải từ ngày 2/12/2025 đến ngày 1/1/2026), M_Service có biến động nhỏ về vốn điều lệ khi tăng nhẹ từ hơn 179.436.240.000 đồng lên hơn 179.521.430.000 đồng. Trong đó, vốn nước ngoài chiếm 71,259 % tương ứng với giá trị vốn góp ở mức 127.924.550 đồng. Vốn góp tư nhân trong nước của M_Service ở mức 28,741% tương ứng với giá trị vốn góp ở mức 51.596.880.000 đồng.
Về thông tin cổ phần của M_Service, đến thời điểm hiện tại, doanh nghiệp có tổng số 17.952.143 cổ phần, trong đó bao gồm 6.795.494 cổ phần phổ thông, 1.092.386 cổ phần ưu đãi hoàn lại, 10.064.263 cổ phần ưu đãi khác. Như vậy, có đến 56,062 % cổ phần của chủ sở hữu MoMo là cổ phần ưu đãi khác.
Thông tin cập nhật mới nhất cho thấy đang có 20 tổ chức, cá nhân là các cổ đông ngoại đang nắm 71,259 % cổ phần doanh nghiệp sở hữu MoMo.
Danh sách cổ đông ngoại đang nắm 71,259 % cổ phần M_Service - doanh nghiệp sở hữu MoMo. Nguồn: Bộ Tài chính
Bật mí bức tranh tài chính MoMo
Về tình hình kinh doanh của MoMo, do không phải là doanh nghiệp niêm yết trên sàn chứng khoán đồng nghĩa với viêc không phải công bố công khai trước công chúng các báo cáo tài chính nên bức tranh kinh doanh của M_Service - doanh nghiệp sở hữu MoMo chỉ được hé mở qua một số thông tin do bên thứ 3 công bố.
Theo báo cáo từ TVS về kết quả kinh doanh năm 2024, doanh thu của MoMo đạt hơn 100 triệu USD, tương đương gần 2.600 tỷ đồng. Đáng nói là con số này thấp hơn rất nhiều so với doanh thu 9.400 tỷ đồng mà báo chí phản ánh cho năm 2023, theo dữ liệu từ Vietdata - công ty chuyên cung cấp dịch vụ nghiên cứu thị trường và phân tích dữ liệu tại Việt Nam.
Báo cáo của TVS cũng cho thấy MoMo đã đạt được những cột mốc ấn tượng khác trong năm 2024, bao gồm hơn 40 triệu tài khoản đăng ký và 10 triệu người dùng hoạt động hàng tháng. Tổng giá trị giao dịch (GTV) của MoMo lên tới 25 tỷ USD. MoMo cũng đã giải ngân hơn 700 triệu USD cho các khoản vay và quản lý hơn 300 triệu USD tài sản cho nhà đầu tư.
Các năm trước đó, theo số liệu từ Vietdata, MoMo liên tục thua lỗ với khoản lỗ ròng 2 năm 2022-2023 lên tới 1.150 và 287 tỷ đồng.
Thua lỗ kéo dài trong một cuộc chơi công nghệ “đốt tiền” không ngăn cản MoMo trở thành kỳ lân công nghệ với mức định giá 2 tỷ USD vào cuối năm 2021. Điều này đã giúp cho khoản đầu tư vào MoMo của TVS được xem là một trong những thành công lớn nhất của công ty chứng khoán này.
Theo Báo cáo tài chính 2024 của TVS, giá trị khoản đầu tư vào Công ty Cổ phần Dịch vụ Di Động Trực Tuyến (M-Service) – công ty chủ quản của MoMo - chỉ được ghi nhận theo giá gốc ở mức 27,8 tỷ đồng vào cuối năm 2024. Tuy nhiên, thực tế khoản đầu tư này đã tăng giá trị lên rất nhiều lần.












