Theo thông báo của Phòng Cảnh sát giao thông Công an tỉnh Hưng Yên , trong thời gian từ ngày 2/2/2026 - 8/2/2026 đã ghi nhận 65 phương tiện vi phạm lỗi điều khiển xe chạy quá tốc độ quy định, gồm 42 phương tiện xe ô tô; 23 phương tiện xe mô tô. Danh sách cụ thể như sau:
Phòng Cảnh sát giao thông Công an tỉnh Bắc Ninh thông báo, từ ngày 17/01/2026 đến ngày 01/02/2026 đã phát hiện 217 trường hợp vi phạm lỗi chạy quá tốc độ quy định qua hệ thống camera giám sát giao thông và phương tiện thiết bị kỹ thuật nghiệp vụ. Danh sách cụ thể như sau:
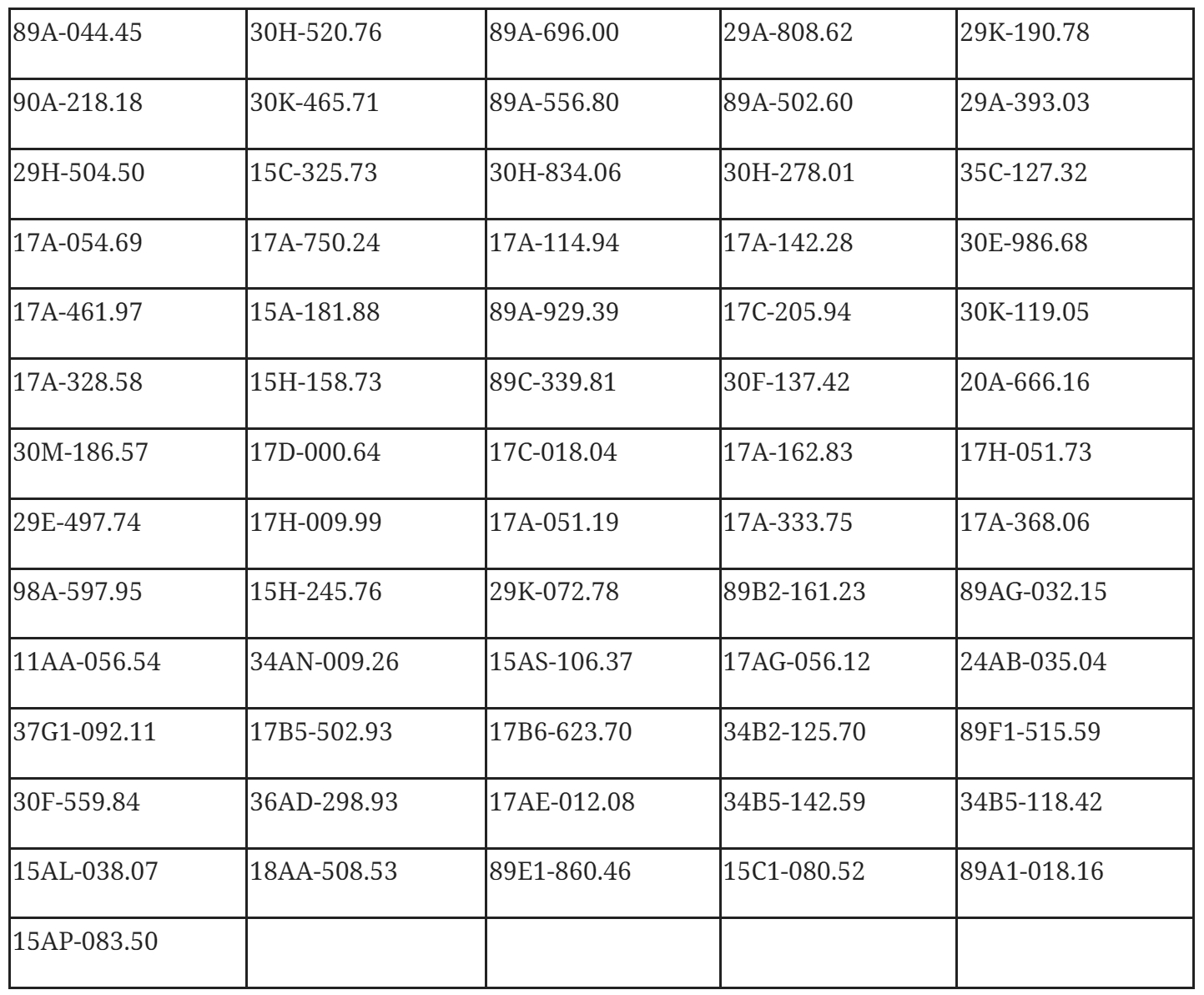
1. Ô tô chạy quá tốc độ quy định (210 trường hợp)
14A-282.36; 14A-659.99; 14A-780.24; 14C-129.70; 14C-355.52; 14H-060.45; 15A-483.20; 15K-620.44; 18C-112.94; 18E-004.88; 19A-713.68; 19C-138.38; 19H-048.16; 20A-359.03; 20C-185.55; 20H-016.73; 22C-096.85; 29A-039.79; 29A-193.59; 29A-739.94; 29B-184.85; 29B-418.81; 29B-604.06; 29C-616.93; 29C-753.62; 29C-875.74; 29D-022.12; 29D-507.26; 29D-570.31; 29E-021.81; 29E-077.29; 29E-095.47; 29E-124.87; 29E-129.90; 29E-303.37; 29E-305.60; 29E-502.67; 29E-525.49; 29E-530.04; 29E-542.31; 29H-371.95; 29H-561.12; 29H-574.71; 29H-658.18; 29H-805.75; 29H-833.09; 29H-910.97; 29H-942.36;
29K-004.78; 29K-033.39; 29K-042.44; 29K-072.26; 29K-092.15; 29K-121.68; 29K-127.31; 29K-230.95; 29K-259.69; 29RM04304; 29V2529; 29Y6573
30A-103.39; 30A-386.68; 30B-012.12; 30B-139.99; 30E-047.55; 30E-339.55; 30E-410.97; 30E-573.17; 30E-891.51; 30E-946.27; 30F-073.73; 30F-281.06; 30F-395.26; 30F-484.65; 30F-563.98; 30F-709.06; 30G-151.70; 30G-292.70; 30G-712.46; 30H-019.54; 30H-197.58; 30H-363.29; 30H-363.29; 30H-385.03; 30H-473.38; 30H-688.23; 30H-726.70; 30H-787.46; 30K-111.25; 30K-239.20; 30K-411.69; 30K-621.12; 30K-671.00; 30K-789.69; 30K-887.87; 30K-946.67;
30L-403.23; 30L-476.17; 30L-489.90; 30L-920.22; 30L-945.10; 30M-125.42; 30M-575.19; 30M-712.48; 30M-815.43; 34A-044.54; 34A-295.39; 34A-474.13;
34B-125.82; 34C-205.19; 34C-239.84; 34C-419.29; 35H-061.89; 36H-061.67;
36K-405.24; 37B-054.74
43C-262.29; 47A-348.97; 49A-508.05; 72A-365.46; 74A-272.58; 78A-279.49; 88A-794.36; 88E-010.68; 89A-327.59; 89A-505.42; 89A - 50542; 89A-537.80; 89A-572.82; 89A-608.68; 89A-804.80; 89C-264.17; 89E-005.71; 89H-043.04; 89H-071.60 ; 90A-369.04
98A-280.44; 98A-319.53; 98A-353.08; 98A-741.62; 98A-811.07; 98A-815.77; 98A-819.52; 98C-292.65; 99A-083.22; 99A-231.91; 99A-258.60; 99A-336.12; 99A-361.58; 99A-369.33; 99A-412.89; 99A-433.88; 99A-446.93; 99A-457.53; 99A-468.95; 99A-484.60; 99A-524.40; 99A-530.85; 99A-559.15; 99A-561.29; 99A-584.81; 99A-614.26; 99A-727.36; 99A-762.85; 99A-811.48; 99A-812.77; 99A-822.50; 99A-851.22; 99A-871.14; 99A-875.80; 99A-890.59; 99A-902.55; 99A-909.52; 99A-909.60; 99A-911.58; 99A-923.91; 99A-950.69; 99A-974.26;
99B-035.72; 99B-052.91; 99B-059.71; 99B-083.98; 99B-095.25; 99B-098.74; 99B-117.36; 99B-140.91; 99B-147.71; 99B-218.18; 99B-266.31; 99C-041.52; 99C-072.22; 99C-076.42; 99C-092.31; 99C-160.96; 99C-207.18; 99C-233.31; 99C-281.67; 99C-284.55; 99C-307.68; 99C-310.98; 99E-006.15; 99E-008.81;
99F-000.13; 99H-025.19; 99H-035.77; 99H-064.52; 99H-071.81; 99H-076.61; 99H-088.93; 99H-114.49
2. Xe máy chạy quá tốc độ (07 trường hợp)
12VA-034.53; 22S1-279.27; 29Z1-137.83; 99AA-116.06; 99C1-071.01; 99D1-557.15; 99E1-367.60
Xe ô tô chạy quá tốc độ. Ảnh: Công an tỉnh Bắc Ninh
Theo Nghị định 168/2024/NĐ-CP, hành vi điều khiển ô tô chạy quá tốc độ quy định từ 5 - dưới 10 km/h sẽ bị phạt từ 800.000 - 1 triệu đồng; vượt quá tốc độ từ 10 - 20 km/h sẽ bị phạt từ 4 - 6 triệu đồng và trừ 2 điểm bằng lái xe; vượt quá tốc độ trên 20 - 35 km/h sẽ bị phạt từ 6 - 8 triệu đồng và trừ 4 điểm bằng lái xe; vượt quá tốc độ trên 35 km/h sẽ bị phạt từ 12 - 14 triệu đồng và trừ 6 điểm bằng lái xe. Trường hợp điều khiển xe chạy quá tốc độ quy định gây tai nạn giao thông sẽ bị phạt tiền 20 - 22 triệu đồng và trừ 10 điểm giấy phép lái xe.
Với xe máy, nếu vượt quá tốc độ từ 5 - dưới 10 km/h bị phạt tiền từ 400.000 - 600.000 đồng; vượt quá tốc độ từ 10 - 20 km/h bị phạt tiền từ 800.000-1 triệu đồng; vượt quá tốc độ trên 20 km/h bị phạt tiền từ 6-8 triệu đồng.
Để tra cứu phương tiện vi phạm, người dân có thể thực hiện theo các cách dưới đây:
- Tra cứu trên website chính thức của Cục Cảnh sát Giao thông:
Bước 1: Truy cập: https://www.csgt.vn/tra-cuu-phuong-tien-vi-pham.html
Bước 2: Nhập biển số xe, chọn loại phương tiện, nhập mã captcha → bấm Tra cứu.
Bước 3: Nếu có vi phạm sẽ hiện thời gian, địa điểm, lỗi, đơn vị xử lý.
- Tải ứng dụng VNeTraffic - ứng dụng giao thông do Bộ Công an quản lý để kiểm tra thông tin vi phạm hoặc gửi phản ánh trực tiếp đến cơ quan chức năng.
Bước 1: Tải ứng dụng trên Google Play / App Store.
Bước 2: Đăng nhập bằng CCCD gắn chip hoặc số điện thoại.
Bước 3: Vào mục “Tra cứu vi phạm”, nhập biển số xe để xem vi phạm.








